Mikroalger eller leire? Vil forskjeller i startfôringen påvirke velferd og overlevelse gjennom settefiskfasen for berggylt?

Lunsjwebinar om resultatene

Link til webinar

Hvordan berggyltens første dager påvirker fiskehelsen måneder senere er fortsatt et åpent spørsmål i oppdrettsnæringen. I dette forsøket har vi sammenlignet berggylt som fikk vokse opp i grøntvann med levende mikroalger og stillestående vann med berggylt som ble oppdrettet med leire og gjennomstrømning.

Illustrasjonsbilde av Berggyltyngel

Produksjonen av berggylt (Labrus bergylta) står fortsatt overfor betydelige utfordringer i tidlig livsfase. Den første fôringsfasen etter klekking er en kritisk flaskehals i marine larvers utvikling, ofte preget av høy dødelighet og varierende velferdsstatus (Vadstein et al. 2018). Tradisjonelle metoder basert på gjennomstrømmingssystemer og leiretilsetting gir ofte uforutsigbare resultater, særlig på grunn av stress, varierende vannkvalitet og utbrudd av opportunistiske bakterier (Attramadal et al., 2012; Skjermo & Vadstein, 1993). Som et alternativ kan en benytte grøntvann, der en tilsetter levende mikroalger eller algepaste. Ved å kombinere levende mikroalger med stagnant vann (heretter kalt grøntvann) i den første perioden av berggyltlarvens liv bygger en på prinsippene om K-seleksjon. Under K-seleksjon er målet å etablere et stabilt mikrobielt miljø som støtter bedre overlevelse og velferd, gjennom å utkonkurrere mer opportunistiske bakterier, en gruppe som inkluderer flere patogener (Salvesen et al. 1999, Vadstein et al., 2018; Dodd et al., 2020).

I et ettårig forsøk gjennomført hos Landbasert Akvakultur Norge AS, i samarbeid med Universitetet i Agder og Innakva LAB AS, ble denne tilnærmingen testet i kommersiell skala. I denne artikkelen presenteres resultater fra velferdsmålingene på fisken, med mål om å svare på spørsmålet: Vil forskjeller i miljøet rundt starfôringen påvirke velferd og overlevelse gjennom settefiskfasene?

Oppsummering av resultater (mer detaljer lengre ned)

Etter nesten ett års oppfølging ble det ikke funnet noen konsistente eller signifikante forskjeller mellom behandlingene når det gjaldt vekt, lengde, kondisjonsfaktor, velferdsparametere eller samlet dødelighet.

Mens enkelte målinger viste midlertidige forskjeller, jevnet disse seg ut over tid, og variasjonene kan skyldes naturlig variasjon eller praktiske forhold i oppsettet. Resultatene tyder dermed på at grøntvann og K-seleksjon i startfasen verken gir et bedre eller dårligere utfall enn bruk av leire og gjennomstrømning, på tetthetene brukt i forsøket.

Litt om hvordan forsøket ble kjørt

  • Forsøket startet i mai 2024. Berggylt larvene ble først klekket i egne klekkekar, før de ble overført på til 20 kubikkmeter store kar på dag 4 etter klekking, da de var klare for startfôring. Det ble satt inn ca. 300 000 berggyltlarver per kar, vannmengden ble i starten justert til at det tilsvarte 20 larver per L. De første 16 dagene etter dette delte forsøket fiskelarvene inn i to behandlinger algebehandling og leirebehandling. Algegruppen (totalt 3 kar) fikk stagnant vann og levende mikroalger, mens leiregruppen (totalt 3 kar) fikk kontinuerlig vannutskiftning og tilsatt leire (tilsettes for at larvene bedre skal kunne se levendefôret), slik det er mer vanlig i kommersiell drift. For å oppnå høy nok tetthet til forsøket, ble de tre replikatene i hver behandling startet med ca. en ukes mellomrom. Etter de første 16 dagene ble alle karene behandlet likt.

  • Etter hvert som fisken vokste og det ble for høy biomasse i karene ble karene sortert hvor det var den største fiskegruppen som ble fulgt videre, hvis fisken vokste for mye i mellom sorteringene ble karene splittet og da ble begge karene fulgt til neste sortering (var kun tilfellet før første sortering). Under første sortering i august/september ble det sortert ut 30 000 larver (> 3 mm) som ble fulgt videre, dette ble gjentatt i november/desember med 15 000 larver (>7-8 mm), og i februar med 10 000 fisk (9-10 mm).

  • Fisken har blitt fulgt i nesten ett år, og vil følges frem til sjøsetting. I løpet av denne perioden har larvene blitt fulgt opp med prøvetakning av velferd, og prøvetakninger av det mikrobielle miljøet i tankene (kimtall analyser og DNA analyser).

  • Det har blitt gjennomført fire utvidede velferdsundersøkelser i sammen med anleggsveterinær. 20 berggylt larver ble tatt ut og det ble sett på vekt, lengde og forskjellige velferdsscoringer slik som finnescore, hudhelse og andre misdannelser (kjeve, ryggrad, gjellelokk, og øyeskader). Disse ble gjennomført når fisken var ca. 4 mnd (0,8 g), 6 mnd (3,7 g), 8 mnd (8,8 g) og 10 mnd (18,7 g gjennomsnitt alle målte fisk).  

Kimtall analyser

I løpet av forsøket ble det tatt vannprøver for å analysere kimtall i miljøet. Dette sier noe om mengden heterotrofe bakterier i det mikrobielle miljøet. Agarplatene ble kultivert på 12°C og ble telt på både dag 2 og dag 14 i kultiveringen (les mer om kimtall analyser her). Ved å telle dem på 2 dager fikk vi et tall på hvor mange rasktvoksende kolonier og hvor mange saktevoksende kolonier det var i hver prøve. Teorien er at de rasktvoksende bakteriene vil være dominert av bakterier med r-strategier, mens de som vokser seinere er mer sannsynlig at vil være dominert av K-strateger.

Resultatene fra kimtall analysene viste at de fleste målingene av rasktvoksende heterotrofe bakterier var under 5 000 koloniformende enheter per ml prøve (cfu/ml), men at det var episoder med høyere bakterievekst (Figur 1). For saktevoksene heterotrofe bakterier var de fleste målingene under 200 000 cfu/ml men det var en topp oppstarten av karet som gikk over (Figur 2). Det ser ut til å være en høyere andel av både saktevoksende og rakstvoksende heterotrofe bakterier i begynnelsen eller rett etter at forsøket er startet, før det roer seg. For det første karet som ble startet (serie 1) var denne toppen vesentlig høyere for rasktvoksende bakterier i leirekaret (måling fra dagen fisken ble satt i karet, 2 dager etter og 6 dager etter 44 000- 52 000 cfu/ml), men det var likevel ikke nok til å gi noen signifikante forskjeller mellom behandlingene, selv innad i serie 1. Det ser heller ikke ut til å være noen sammenheng mellom antallet av verken rasktvoksende- eller saktevoksende heterotrofe bakterier og dødeligheten i de første 50 dagene av forsøket.

Figur 1. Figuren viser andel rasktvoksende heterotrofe bakterier (cfu/ml) for karene som fikk enten algebehandling (mørkegrønne sirkler) eller leirebehandling (lysegrå sirkler). De tre kolonnene viser de tre seriene som ble startet opp med et kar i hver behandling. For algebehandlingene ser det ut til å være en topp noen dager etter oppstart av forsøket, mens denne er mindre tydelig for leirebehandlingen, bortsett fra for serie 1, som har en svært høy bakterievekst i starten.

Figur 3. Figuren viser andel saktevoksende heterotrofe bakterier (cfu/ml) for karene som fikk enten algebehandling (mørkegrønne sirkler) eller leirebehandling (lysegrå sirkler). De tre kolonnene viser de tre seriene som ble startet opp med et kar i hver behandling. For algebehandlingene ser det ut til å være en topp noen dager etter oppstart av forsøket, mens denne er mindre tydelig for leirebehandlingen, bortsett fra for serie 1, som har en svært høy bakterievekst i starten.

 Vekt og lengde

Selv om larvene startet på grøntvann i gjennomsnitt kom ut hakket lengre og tyngre var ingen signifikante forskjeller mellom de to behandlingene når det kom til verken vekt eller lengde.

Tabell 1. Gjennomsnittlig vekt og lengde for berggyltlarvene ved de utvidede velferdsmålingene.

Kondisjonsfaktor

Siden det ikke finnes en optimal kondisjonsfaktor for berggyltlarver ble det valgt å bruke Fultons kondisjonsfaktor for å se om det var forskjeller kondisjonsfaktor, og om disse kunne relateres til de øvrige velferdsscorene (Figur 4). Det ble valgt å bruke de samme fire kategoriene som for rognkjeks basert på tilpasningen til Imsland et al. (2024): Best: 0: ≥ 1,5, 1: 1,4-1,5, 2: 1,3-1,4 og, dårligst 3: ≤ 1,3.

Selv om det ser ut til at det jevnt over er en større andel av berggylten som ble startet på leirebehandlingen som får den laveste beste kondisjonsfaktoren, så var det ingen signifikante forskjeller mellom andelen i hver kondisjonskategori mellom de to behandlingene (Fisher's Exact Test; p > 05).

Figur 4. Hvor stor andel av berggylten ved hver måling som havnet i hver kondisjonskategori (0 er best, 3 er dårligst). Panelene viser hvilken behandling fisken hadde fått.

Velferdsscore

Det var ingen tydelige forskjeller i velferdsscore mellom de to behandlingene. Bortsett fra en måling på høyre brystfinne for september 2024 hvor leirebehandlingen fikk en litt høyere score (p < 0,05, kruskal wallis, Figur 5). For alle de andre scoringene var det ingen signifikante forskjeller, men det ser ut til å være en økning i andelen hudproblemer i løpet av vinteren (Figur 6).   

Figur 5. Andel av berggylt med skade på høyre brystfinne fordelt på kondisjonsfaktor (x aksen). Panelene i kolonner viser hvilken behandling fisken hadde, mens panelene i rader viser hvilken av de utvidede velferdsundersøkelsene prøven kom fra.

Figur 6. Andel av berggylt med hudproblemer fordelt på kondisjonsfaktor (x aksen). Panelene i kolonner viser hvilken behandling fisken hadde, mens panelene i rader viser hvilken av de utvidede velferdsundersøkelsene prøven kom fra.

Dødelighet

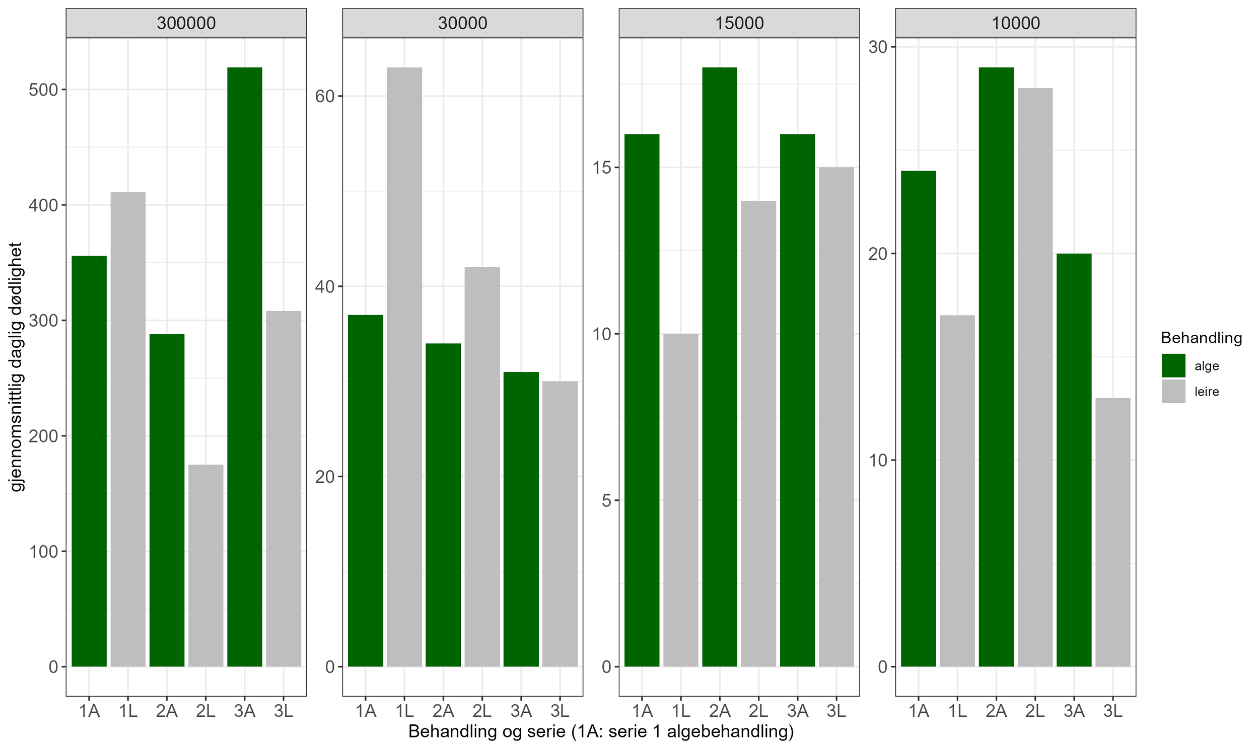
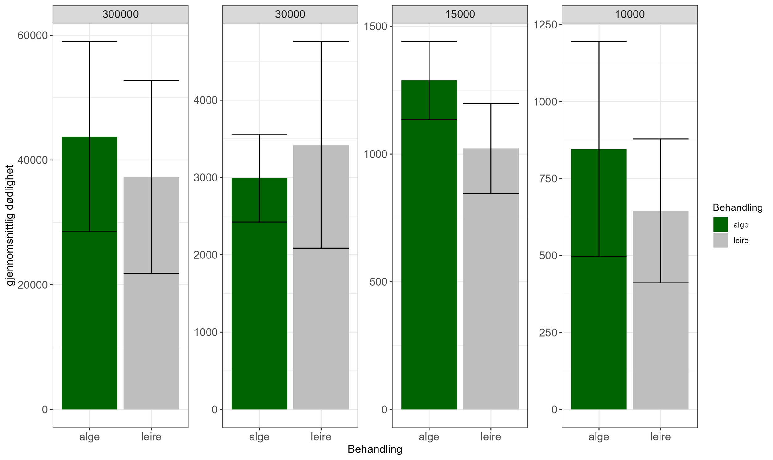
Hvor mange larver som døde ble registrert først ved å telle en representativ andel av døde fisk i slammet i karene, og senere når fisken var stor nok ved direkte telling. Fordi berggylten i hvert kar ble startet og sortert på litt forskjellig dato delte vi inn i de forskjellige sorteringene (start: ca. 300 000 berggylt, sortering 1 ca. 30 000 berggylt, sortering 2 ca. 15 000 berggylt, og sortering 3 ca. 10 000 berggylt). Figur 7 viser gjennomsnittlig dødlighet for hver behandling i løpet av hver sorteringsfase. Det ble også regnet ut en gjennomsnittlig daglig dødelighet for berggylten i hver periode (Figur 8).

Figur 7. Figuren viser gjennomsnittlig dødelighet for hvert behandling (farger refererer til behandling, mørkegrønn: alge, lysegrå: leire). Errorbarene viser +- Standardavviket. Panelene viser startantallet på berggylten i karene for hver sorteringsfase.

Figur 8. Figuren viser gjennomsnittlig daglig dødelighet for hvert kar i forsøket på xaksen (farger refererer til behandling, mørkegrønn: alge, lysegrå: leire). Panelene viser startantallet på berggylten i karene for hver sorteringsfase.

Det var ingen signifikante forskjeller mellom gjennomsnittlig daglig dødelighet mellom de to behandlingene når vi ser på hele perioden i hver sortering. Hvis vi splitter dataen for måned så er det signifikante forskjeller mellom behandlingene på flere tidspunkter i løpet av forsøket. For fisken som enda ikke var sortert så var det en signifikant høyere dødelighet for algebehandlingene i september, men ingen forskjell i dødelighet for den fisken som alt var sortert.

I oktober og november hadde leirebehandlingen svakt høyere dødelighet for sortering 1. Det var ingen signifikant forskjell i desember, men i januar og februar hadde algebehandlingene noe høyere dødelighet både for sortering 2 og 3.

Tetthet i forsøket

Det er viktig å merke seg at forsøket er kjørt med et startinnsett på 20 larver per L, noe som er under vanlig tetthet for konvensjonell produksjon, men over det som har vært brukt for stagnantvann og levende mikroalger på forsøksanlegget tidligere. Det er fult mulig at forskjellige tettheter vil kunne påvirke velferd og dødelighet.

Videre resultater

I løpet av forsøket ble det samlet inn vannprøvene analyseres for bakteriesamfunn (kimtall og DNA sekvensering), noe som kan gi et bedre svar på om stagnantvann og levende mikroalger var nok til å selektere for K-seleksjon i de forskjellige behandlingene.

Oppsummering

Etter nesten ett års oppfølging ble det ikke funnet noen konsistente eller signifikante forskjeller mellom behandlingene når det gjaldt vekt, lengde, kondisjonsfaktor, velferdsparametere eller samlet dødelighet.

Mens enkelte målinger viste midlertidige forskjeller, jevnet disse seg ut over tid, og variasjonene kan skyldes naturlig variasjon eller praktiske forhold i oppsettet. Resultatene tyder dermed på at grøntvann og K-seleksjon i startfasen verken gir et bedre eller dårligere utfall enn bruk av leire og gjennomstrømning, på tetthetene brukt i forsøket.

Les mer om forsøket her: https://www.fhf.no/prosjekter/prosjektbasen/901799/

Litteraturliste

Attramadal, K. J. K., Tøndel, B., Salvesen, I., Øie, G., Vadstein, O., & Olsen, Y. (2012). Ceramic clay reduces the load of organic matter and bacteria in marine fish larval culture tanks. Aquacultural Engineering, 49, 23-34. https://doi.org/https://doi.org/10.1016/j.aquaeng.2012.02.003

Dodd, E. T., Pierce, M. L., Lee, J. S. F., & Poretsky, R. S. (2020). Influences of claywater and greenwater on the skin microbiome of cultured larval sablefish (Anoplopoma fimbria). Animal Microbiome, 2(1), 27. https://doi.org/10.1186/s42523-020-00045-5

Imsland, A. K. D., Reynolds, P., & Boissonnot, L. (2024). Effects of different feeding regimes on growth, cataract development, welfare, and histopathology of lumpfish (Cyclopterus lumpus L.). Aquaculture, 578, 740137. https://doi.org/https://doi.org/10.1016/j.aquaculture.2023.740137

Salvesen, I., Skjermo, J., & Vadstein, O. (1999). Growth of turbot (Scophthalmus maximus L.) during first feeding in relation to the proportion of r/K-strategists in the bacterial community of the rearing water. Aquaculture, 175(3), 337-350. https://doi.org/https://doi.org/10.1016/S0044-8486(99)00110-6

Skjermo, J., & Vadstein, O. (1993). Characterization of the bacterial flora of mass cultivated Brachionus plicatilis. Hydrobiologia, 255-256, 185-191. https://doi.org/10.1007/BF00025838

Vadstein, O., Attramadal, K. J. K., Bakke, I., & Olsen, Y. (2018). K-Selection as Microbial Community Management Strategy: A Method for Improved Viability of Larvae in Aquaculture [Review]. Frontiers in Microbiology, 9. https://doi.org/10.3389/fmicb.2018.02730


Forrige
Forrige

Vi står sterkere sammen

Neste
Neste

Politisk debatt på Innakva-konferansen 2025 – hvordan vil partiene styrke et blått Agder?